Kaçakçılar Neden Kokaini Genelde Muz Kolilerinin İçine Saklıyor?

Kaçakçıların favori yöntemlerinden biri, kokaini uluslararası sevkiyatlarda dikkat çekmeyen tarım ürünlerinin arasına gizlemek. Bunun en klasik örneği de muz kolileri.
Kaçakçılar Neden Kokaini Genelde Muz Kolilerinin İçine Saklıyor?

muz, dünyada en çok tüketilen meyve olup, muz bitkisi bir ağaç değildir, ortasından muz çiçeği çıkıp meyve verdikten sonra kesilir ve ölür, dibinden çıkan yeni klonları ile yaşamını devam ettirir. her neyse, kokain diyorduk.

muz, meyvesi yeşilken kopartılır, sonradan etilen gazı ile olgunlaştırılır( karpitleme diye biliniyor ama karpitten asetilengazı çıkar, o da işe yarıyor galiba ki kullanıyorlar heralde, etilen etanolden su çıkarılarak yapılıyor her neyse) etilen gazına maruz kaldıktan sonra muz taraklarının fazla olgunlaşıp bozulmadan sınırlı ve belli bir ömrü olur, buna ek olarak fazla miktarlarda ve sürekli olarak tüketilmesi sebebiyle yoğun sirkülasyonu olur gümrüklerde, dolayısıyla her konteyneri detaylı inceleyecek zaman olmaz, bekletirseniz muzlar bozulur ve insanlar muz yiyemez. buna ek olarak kokainin elde edildiği koka bitkisi muz gelen yerlerde yetiştiği için coğrafi bir faktör de var.

kokain kimyasalı tropan alkaloid'lerden biridir (bkz: atropin), uyarıcı etkisi sebebiyle dünya genelinde boku çıkartılmaktadır ancak
tıpta damar daraltıcı olarak(burun kanamalarında vs.) kullanımı hala uygulanan bir pratiktir.

koka bitkisinden eldesini daha önce anlatmıştım:
(bkz: #121275366)
(bkz: kokain değildi pudra şekeriydi)

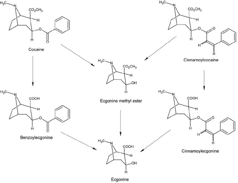
o proses çıktısı eskiden beyaz renkli olmaktaydı zira kullanılan koka bitkisi cinsi, yüksek saflıkta ama düşük miktarlarda kokain üretiyordu ve elde edilen kokain görece saf olmaktaydı, ancak günümüzde başka bir koka bitkisi cinsi kullanılıyor, daha düşük saflıkta ancak daha fazla kokain üretiyor. bu sebeple sadece yukarıdaki bkz'da bahsettiğim işlemler saf kokain eldesine yeterli olmaz, renk sarı-kahverengi tonlarında olur, bu sebeple kimyasal olarak işlemden geçmesi gerekir. bu işlemleri detaylı anlamanız için organik kimya bilmek lazım o sebeple örnekleyerek anlatmaya çalışayım; elde edilen ham kokain içerisinde sinamoil kokain (cinnamoyl cocaine) denen bir ekgonin türevi safsızlık olarak bulunmaktadır, şey gibi düşünün, kokain ekmek, ekgonin un, sinamoil ekgonin de kek gibi, ekgonin ikisinin de ortak hammaddesi. illegal laboratuvarlar tek basamakta ekmek harici diğer unlu mamülleri yakarak daha az miktarda ama görece daha saf ekmek yani kokain elde ederler.

farmasötik amaçlı laboratuvarlar ise önce bugün unlu mamulleri ekgonine yani una geri döndürürler, daha sonra unun hepsiyle geri ekmek, yani kokain elde ederler bu sayede çok miktarda ve oldukça saf kokainleri olur.

bu bir yandan şu da demek, iki ayrı kokain numunesini detaylı inceleyerek ve karşılaştırarak size aynı partiden mi olduğunu ve hangi metotla üretildiğini veya hastaneden mi çalındığını söyleyebilirim, bilim böyle eğlenceli bir şey işte, her neyse.