Evreni Ayakta Tutan Gizemli Sayı: 1/137 (İnce Yapı Sabiti)

Tek bir sayı düşünün; atomların kararlı kalmasından yıldızların yanmasına kadar her şeyi belirliyor. Peki 1/137 neden tam olarak bu değer?
Evreni Ayakta Tutan Gizemli Sayı: 1/137 (İnce Yapı Sabiti)

fine structure constant (ince yapı sabiti), evrenin şu anki hâlinin neden tam da şu anki hâli olduğunun yanıtı olan bir sayı.

bohr atom modelini duymuşsunuzdur diye düşünüyorum. 20. yüzyılın başlarında niels bohr tarafından öne sürülen bu modelde, elektronların atom çekirdekleri etrafında belirli yörüngelerde dolandığı kabul ediliyordu. sahip oldukları enerji seviyeleri de birer çizgi gibi kabul görüyordu ama teknoloji geliştikçe detayların ortaya çıkma huyu var. burada da öyle oldu ve bu enerji seviyelerinin aslında tek çizgiden değil, birbirine yakın birkaç çizgiden oluştuğu görüldü.

bu noktada bir paragraf açmak iyi olabilir. "çizgi"den kastımın ne olduğundan bahsetmeden geçmeyeyim. bir atom düşünün, çekirdekte protondu nötrondu, bazı parçacıklar var. bunların etrafında da günümüzde orbital dediğimiz, elektronların bulunduğu bir hacim var. bohr atom modelinden bahsettiğimiz için en basit atom olan hidrojen üzerinden bakabiliriz olaya. hidrojen atomunun 1 elektronu var. bu elektron sakin sakin orbitalinde takılırken dışarıdan mesela bir fotonun kendisine çarpması gibi bir müdahale gelirse enerji kazanır. dolandığı enerji seviyesi için yeterli olandan biraz daha fazla enerjiye sahip olunca o seviyede kalamaz ve daha üst enerji seviyelerine, yani çekirdekten daha uzak bir yörüngeye fırlar. uyarılma adını verdiğimiz bu olay sonsuza dek sürmez. elektron, önceki yörüngesinde daha kararlı olduğu için oraya dönüş yapmak ister. doğada genellikle her şey, daha kararlı olduğu duruma geçiş yapma eğilimindedir çünkü. elektron eski yerine geri döner ama kazandığı fazladan enerji vardı az önce. bu enerji, enerjinin korunumu kanunu gereği, ortadan kaybolmaz. bir foton olarak ayrılır ortamdan. foton dediğimiz şey ışık anlamına da geldiğinden, biz bu elektronun geri dönüşünü tayf üzerinde bir ışık çizgisi olarak izlemiş oluruz. işte, çizgiden kasıt bu. burada, kazanılan ve geri verilen enerjinin ne kadar yüksek olduğuna bağlı olarak ışığın rengi de değişir. mavi/mor gibi ışıklar daha yüksek enerji seviyelerinden geri dönüşün bir iziyken kırmızı daha düşük enerji anlamına gelir.

görsel olarak şöyle bir şeyden bahsediyoruz:


dikey, açık renkli çizgiler tek bir çizgi gibi duruyor doğal olarak ama buna yüksek çözünürlüklü bir spektroskopla bakıldığında bunların birbirine çok yakın birkaç çizgi olduğu görülebilir.

o dönemde konu bu çizgilere nasıl geldi diyecek olursanız

güneş ve diğer yıldızların ışığının incelenmesi nedeniyle geldi. yukarıda paylaştığım görsel hidrojeni temsil ediyor. diğer tüm elementler için benzer çizgiler oluşuyor ama hepsinin dalga boyu karşılığı, yani tayf üzerindeki yerleri farklı. kısacası bu çizgiler elementlerin parmak izi. biri diğeriyle aynı değil. bu sayede bir yıldızdan gelen ışığa bakarak o yıldızın içindeki elementlerin neler olduğunu anlayabiliyoruz.

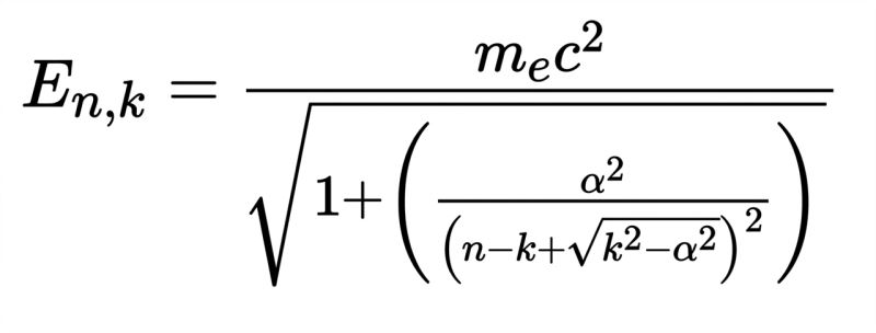
ince yapı sabitinin bulunuşunda devreye giren isim alman fizikçi arnold sommerfeld'di. bohr, yörüngeleri çember olarak kabul etmişti ama sommerfeld "ya çember deil de elipsse" diyerek işe başladı. aynı dönemlerde biliyorsunuz albert einstein de görelilik üzerine yaptığı çalışmalarla gündemdeydi. sommerfeld, özel görelilik teorisini de araştırmalarına dahil etmeye karar verdi çünkü elektronların hızının oldukça yüksek olduğunu fark etmişti. bu durum, yüksek hızdan kaynaklanan göreli kütle artışını ve enerji değişimini denklemlere dahil etmek gerektiğini söylüyordu aslında. böylece eliptik yörünge ihtimaliyle göreliliği birlikte alıp karmaşık bir denklemi çözmeye başladı. şöyle bir denklemden bahsediyoruz:

denklemdeki alfa (?) terimi, aradığımız şey olan ince yapı sabiti. yani bu denklemin sonucunda ortaya çıkan şey yaklaşık olarak şuydu:
alfa = 1/137

yaklaşık diyorum çünkü paydadaki sayı tam 137 değil 137,03599920611 şeklinde ondalıklı bir sayı.

bu sayının bulunuşu tek başına pek bir anlam ifade etmez tabii ama sommerfeld şunu fark etti: bu sayı aslında bohr atom modeli çerçevesinde elektronun temel durumdaki hızının ışık hızına oranıydı.

"sabit" diyor oluşumuzun nedeni, bunun sonunda metre, kilogram ya da başka herhangi bir birim olmaması. bu tür fiziksel sabitlerin aslında şöyle bir önemi var: evrenin neresine giderseniz gidin aynı şeyi bulursunuz karşınızda. mesela 10 kg olarak ölçtüğünüz bir kütle, başka gezegende yaşayan canlılar olsaydı eğer, onların farklı kütle tanımlarının ve birimlerinin yanında bir şey ifade etmezdi ama bir sabit, biriminiz ne olursa olsun o birimden bağımsızdır. yani bir sabitin değeri evrenseldir.

gelelim "sommerfeld bunu buldu da ne oldu" sorusuna. niye bu kadar önemli bir sayı bu ya da bazılarının dediği gibi "gizemli"?

evrende gördüğümüz gezegen, yıldız, galaksi ve burada tek tek saymayacağım kadar çok gök cismine ek olarak dünya üzerinde var olan her şey atomlardan oluşuyor. alfa adlı bu sabit, bu atomların var oluşunun temeli. eğer bu sayı biraz daha küçük olsaydı yıldızlarda bazı füzyon olayları olmazdı. biraz daha büyük olsaydı bazı atomlar kararlı kalamazdı çünkü kimyasal bağlar değişebilirdi.

evrende 4 temel kuvvet var:
1- elektromanyetik kuvvet
2- kütle çekim kuvveti
3- güçlü nükleer kuvvet
4- zayıf nükleer kuvvet

alfa, elektromanyetizmanın kuplaj sabitidir. peki kuplaj nedir? iki parçacık ya da iki sistemin ne kadar güçlü etkileştiğini bize veren değerdir. yani bir etkileşim zayıf ya da güçlü olabilir ve bun belirleyen şey kuplaj sabitidir. mesela güçlü nükleer kuvvetin düşük enerjilerdeki kuplaj sabiti yaklaşık 1'dir. kütle çekim kuvveti ve zayıf nükleer kuvvetin kuplaj sabitleri farklı mertebelerde olmakla beraber son derece küçük sayılardır ama elektromanyetik kuvvetin kuplaj sabiti 1/137'dir.

bu arada bu kuplaj değerlerinin tamamı enerjiye bağlı olarak değişebilir, adının kuplaj "sabiti" olması sizi yanıltmasın. enerji değişimleri son derece küçük olduğu için pratikte sabit kabul edilir bu değerler. sonuç olarak 2 elektronun birbirini ne kadar iteceğinin ölçüsü ince yapı sabitidir. yukarıda uyarılma olayını anlatmıştım. işte o olayın olma ihtimali alfa ile orantılıdır. sözün özü: elektromanyetik tüm etkileşimlerde belirleyici olan şey alfadır ki elektromanyetizma evrenin en temel taşlarından biridir.

sadece bu mu? hayır. bu konulara ilginiz varsa kuantum elektrodinamiği (qed) terimine de aşinasınızdır diye düşünüyorum. qed'de hesaplamalar pertürbasyon teorisine dayalıdır. en basit olayı alırsınız ve düzeltmeleri adım adım üzerine katarak ilerlersiniz. her yeni düzeltme, bir öncekinin yaklaşık olarak alfa katı kadar büyüktür. 1/137 olarak yazdım. bölmeyi yapıp ondalıkları yuvarladığınızda esas değer yaklaşık 0.0073 oluyor. bu da qed'deki düzeltmelerin süratli şekilde azaldığı ve birkaç basamak sonra aşırı hassas bir sonuç elde edilebildiği anlamına gelir. özetle: pertürbasyon teorisinin işe yaraması ve kuantum alan teorisinin geçerli olmasında, alfa kritik öneme sahiptir.

sayı değişince yıldızlarda neden bazı füzyon olayları olmaz sorusunun cevabına da değineyim. normal şartlarda bir yıldızın en verimli yakıtı hidrojendir. hidrojen, nükleer füzyon aracılığıyla helyuma dönüşür ama belirli süreçler sonunda helyum da karbona dönüştürülür yıldızda. üçlü alfa süreci adı verilen bir süreç devreye girer. buradaki alfayı ince yapı sabitiyle karıştırmayın, helyum atomu için kullanılıyor alfa burada.

bu süreç helyumun hokus pokusla anında karbona dönüştüğü bir süreç değil, basamaklı bir süreç. ilk basamakta 2 helyum atomu kaynaşarak bir berilyum-8 atomu oluşturur. ikinci aşamada bir berilyum atomuyla bir helyum atomu da kaynaşabilir. işte bu noktada astrofizikçi fred hoyle şunu kanıtladı: bu üçüncü helyumun, belirli bir enerji değerinde olması gerekir ki berilyum-8 ile birleşme olayı gerçekleşebilsin. zira berilyum-8 gayet kararsız olduğundan çok çabuk bozunabilir ve kaynaşma için gereken helyumun bu aşamada elini çabuk tutması gerekir. yani bir çeşit rezonans olması gerekir burada. işte bu rezonans değeri de ince yapı sabitimiz olan alfa ile bağlantılıdır. yani alfa tamamen farklı bir değere evrilecek olsaydı bir anda, o zaman bu süreç durur ve o noktadan sonra yıldız evrimi diye bir şey olmazdı.

alfanın gizemli olduğunun söylenmesinin nedeni şu

bu sayının niye 1/136 ya da 1/138 değil de 1/137 olduğunu bilmiyoruz. gerçi tabii fizikteki diğer birçok sabit için de aynı soru sorulabilir ama fark şu: diğer sabitlerin birimleri var. örneğin planck sabitinin birimi joule-saniye, ışık hızının birimi metre/saniye gibi gibi... alfa böyle değil. alfa sadece bir sayı. gizemi de buradan geliyor işte. evrendeki sabitlerin değerleri, evren şu anki hâliyle oluşabilsin diye ince bir şekilde ayarlanmış gibi görünüyor ki aslında bazen dinî tartışmalara neden olan "evrende bir düzen, bir ayar var" mevzusu da buradan çıkıyor.

sabit bir sayı olduğunu söyledik ama gerçekten sabit mi yoksa zamanla değişiyor mu ya da günümüze dek değişmiş mi diye bir soru da gelebilir akıllara. sonuçta evrenin oluşumundan bu yana geçen süre oldukça uzun ama bunun da ölçümü yapılmış durumda. alfa büyük ölçüde sabit gibi görünüyor. elektromanyetik etkileşimin şiddetini alfanın belirlediğini söyledik. eğer bunda bir değişim olsaydı, etkileşimler de değişir ve enerji seviyeleri arasındaki mesafeler de farklılaşırdı. öyle bir şey gözlemlemiyoruz atomlarda. bunu atom saati ile ölçmüş bilim insanları, bu sayede biliyoruz. buna mukabil kuasarlarla da bazı gözlem çalışmaları yapılmış ve alfanın eskiden çok küçük bir farkla günümüzde olduğundan farklı olabileceği bulunmuş. yalnız burada ölçüm yapan teleskoplardaki farklılık ya da analiz yöntemlerinin farklılığı gibi, sonuca etki etmiş olabilecek bazı faktörler var. dolayısıyla bu "bilgi"nin kesinliği hakkında şu an konuşamıyoruz.

bu arada alfa evrenin farklı yerlerinde değişebilir mi sorusu da gündemde.

bir küçük not ekleyeyim bitirmeden: tayftaki çizgilerin 1'den fazla olması durumu, zeeman etkisi adlı olaydan farklıdır. zeeman etkisi, dışarıdan uygulanan bir manyetik alan etkisinin spektrum çizgilerini geçici olarak bölmesidir. sommerfeld'in incelediği ince yapı kaynaklı bölünmeler ise atomun kendi yapısından kaynaklanır ve manyetik alan varlığı gibi dışsal etkilere bağlı değildir.

kapanışı da şu konuyla yapayım

bazı bilim insanlarına göre alfanın varlığı ile çoklu evren modelleri arasında bir ilişki var. buna göre bizim evrenimiz için yaklaşık 1/137 olan bu değer, başka evrenlerde birbirinden farklı olabilir ve bu da birbirinden çok değişik özelliklere sahip evrenlerin var olabileceği fikrini doğurur. tabii son derece tartışmalı bir konu bu ve gözlemsel olarak kanıtlama şansımız da günümüz teknolojisinde imkânsız gibi göründüğü için işin bu kısmı fazlasıyla havada kalıyor. kesin olarak bildiğimiz şey şu ki: ince yapı sabiti, bilinen evrenin en temel kodlarından biri.